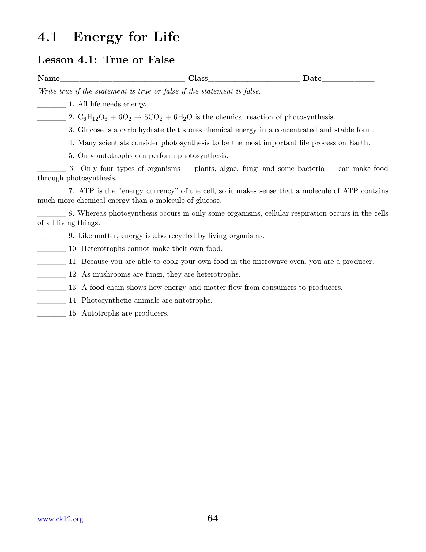
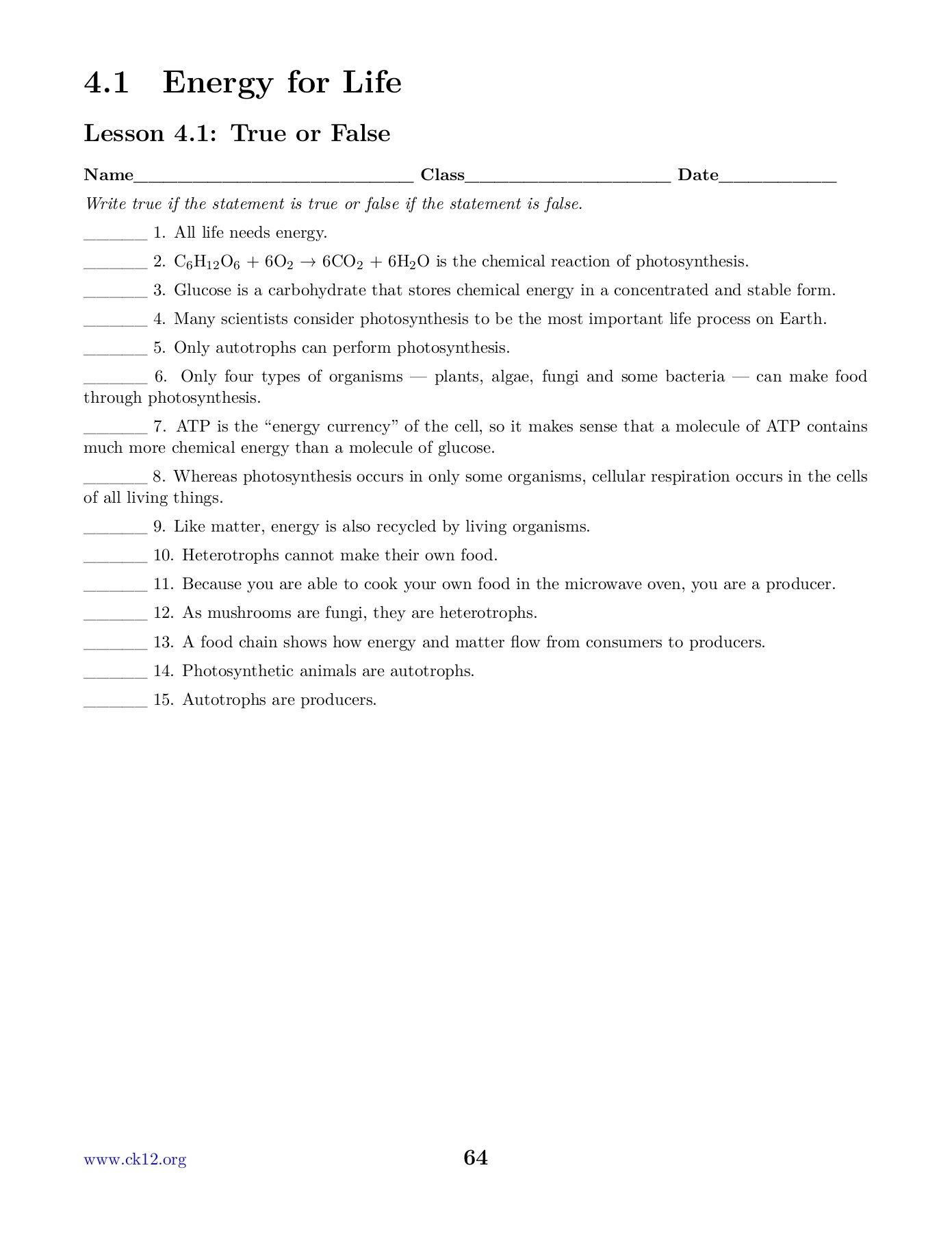
Photosynthesis & Cellular Respiration Worksheet

Photosynthesis and cellular respiration are two essential processes that occur in living organisms, playing a crucial role in the exchange of energy and nutrients. Photosynthesis is a process by which green plants, algae, and some bacteria convert light energy to chemical energy stored in glucose, while cellular respiration is a process that releases energy by breaking down glucose and other food molecules in the presence of oxygen.

Understanding the intricacies of these processes is crucial for students studying biology. A worksheet focusing on photosynthesis and cellular respiration can help reinforce the concepts and provide a hands-on learning experience for students.

Chapter 4 Photosynthesis And Cellular Respiration WorksheetsPhotosynthesis & Cellular Respiration Worksheet

One of the key concepts covered in the worksheet is the chemical equation for photosynthesis, which shows how carbon dioxide and water are converted into glucose and oxygen in the presence of light energy. Students are tasked with filling in the missing compounds and balancing the equation to understand the process better.

Another important aspect covered in the worksheet is the comparison between photosynthesis and cellular respiration. Students are asked to identify the similarities and differences between the two processes, such as the input and output molecules, the organelles involved, and the overall purpose of each process.

Furthermore, the worksheet also includes questions that require students to apply their knowledge of photosynthesis and cellular respiration in real-life scenarios. For example, students may be asked to explain how plants are able to survive in low light conditions or how aerobic and anaerobic respiration differ in terms of energy production.

In conclusion, a worksheet focusing on photosynthesis and cellular respiration is a valuable tool for students to deepen their understanding of these fundamental biological processes. By engaging in activities that require critical thinking and problem-solving, students can enhance their comprehension and retention of the material, paving the way for a solid foundation in biology.


Easily Download and Print Photosynthesis & Cellular Respiration Worksheet

Amoeba Sisters Photosynthesis Worksheet Answers Flash Sales Www Worksheets LibraryAmoeba Sisters Photosynthesis Worksheet Answers Flash Sales Www Worksheets Library

Photosynthesis And Cellular Respiration Revision WorksheetPhotosynthesis And Cellular Respiration Revision Worksheet

ESL Biology Photosynthesis And Cellular Respiration 3 Worksheets Made By TeachersESL Biology Photosynthesis And Cellular Respiration 3 Worksheets Made By Teachers

Comparing Photosynthesis And Cellular Respiration Worksheet Live Worksheets LibraryComparing Photosynthesis And Cellular Respiration Worksheet Live Worksheets Library